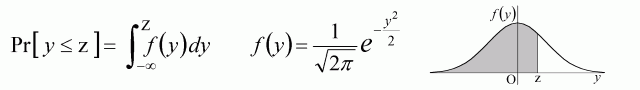
■ 正規分布表 normal distribution  (標準正規分布 N(0,1) standard normal distribution )
eq.
z